Составить блок-схему и программу вычисления значения функции F(x) для любого значения x, введенного с клавиатуры. F(x) вычисляется по правилу: если x
Program primer4;
writeln (‘введите значение x’);
then f:= x*x/8
writeln (‘f=’, f, ’при х =’, x);
Индивидуальные задания
Вариант 1
Составить программу вычисления значений функции, заданной следующим образом:
ax 2 + bx +c, если a0
F= , если a>0 и c<>x
a(x-c), в остальных случаях
Значения переменных a, b, c, x вводятся с клавиатуры.
Протестировать программу, подготовив соответственно три примера (по одному для каждого условия)
Вариант 2
Составить программу вычисления значений функции, заданной следующим образом:
F= , если a>0 и c<>x
, в остальных случаях
Значения переменных a, b, c, x вводятся с клавиатуры.
Протестировать программу, подготовив соответственно три примера (по одному для каждого условия)
Вариант 3
Алгоритм программирования. Как составить блок схему?
Составить программу вычисления значений функции, заданной следующим образом:
F= , если a>0 и c=4
, в остальных случаях
Значения переменных a, b, c, x вводятся с клавиатуры.
Протестировать программу, подготовив соответственно три примера (по одному для каждого условия)
Вариант 4
Составить программу вычисления значений функции, заданной следующим образом:
ax 2 + b 2 x +c, если a0
F= , если a>0 и c<>0
, в остальных случаях
Значения переменных a, b, c, x вводятся с клавиатуры.
Протестировать программу, подготовив соответственно три примера (по одному для каждого условия)
Вариант 5
Составить программу вычисления значений функции, заданной следующим образом
x , при x >-5 и c <>0;
, в остальных случаях
Значения переменных a, b, c, x вводятся с клавиатуры.
Протестировать программу, подготовив соответственно три примера (по одному для каждого условия)
Вариант 6
Составить программу вычисления значений функции, заданной следующим образом
аx 2 +b 2 x, при c0;
x + c , при c >0 и b =0;
, в остальных случаях
Значения переменных a, b, c, x вводятся с клавиатуры.
Протестировать программу, подготовив соответственно три примера (по одному для каждого условия)
Вариант 7
Составить программу вычисления значений функции, заданной следующим образом
, в остальных случаях
Значения переменных a, b, c, x вводятся с клавиатуры.
Протестировать программу, подготовив соответственно три примера (по одному для каждого условия)
Вариант 8
Составить программу вычисления значений функции, заданной следующим образом
ax , при x >5 и b =0;
x/c, в остальных случаях
Значения переменных a, b, c, x вводятся с клавиатуры.
Протестировать программу, подготовив соответственно три примера (по одному для каждого условия)
Вариант 9
Составить программу вычисления значений функции, заданной следующим образом
4 Блок-схема, С++, Mathcad, Excel Вычислить значения функций Y, Z при х,a считываемых с клавиатуры
, в остальных случаях
Значения переменных a, b, c, x вводятся с клавиатуры.
Протестировать программу, подготовив соответственно три примера (по одному для каждого условия)
Воспользуйтесь поиском по сайту:

studopedia.org — Студопедия.Орг — 2014-2023 год. Студопедия не является автором материалов, которые размещены. Но предоставляет возможность бесплатного использования (0.006 с) .
Источник: studopedia.org
Программирование в Pascal

Задача № 2: Постановка задачи: Составить блок – схему и написать программу, вычисляющую функцию Y при заданном значении аргумента:


program raz1;
y,a,z,b:integer;
write (‘a:’); readln (a);
write (‘z:’); readln(z);
write (‘b:’); readln(b);
if z<=(-10) then y:=a*z+b
else if (z>(-10)) and (z<1) then y:=a*sqr(z)+b*z
else if z>=1 then y:=z*sqr(z);
writeln (‘y=’,y);
gotoxy (24,25);
write(‘Для выхода нажмите Enter. ‘);
Результат выполнения:

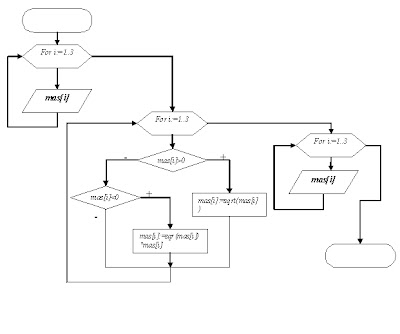
Задача № 3: Даны три числа. Вычислить корень квадратный из положительных чисел и возвести в третью степень отрицательные числа.

program omg;
mas: array [1..3] of real;
writeln (‘ Введите 3 числа ‘);
for i:=1 to 3 do
readln (mas[i]);
for i:=1 to 3 do begin
if mas[i]>0 then mas[i]:=sqrt(mas[i]);
if mas[i]<0 then mas[i]:=sqr(mas[i])*mas[i]
for i:=1 to 3 do writeln(i,’- ое число :’, mas[i]:2:1);
gotoxy (24,25);Для выхода нажмите Enter ‘)
Результат выполнения:

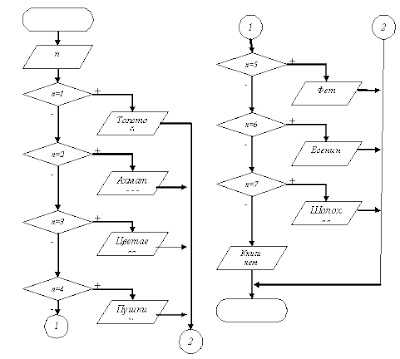
Задача № 4: В магазине продаются 7 книг разных авторов и разной цены. Составить программу вывода сообщения об авторе, название и цены книги, в зависимости от введённого порядкового номера книги.

program den;
var n:integer;
writeln (‘Введите номер книги от 1 до 7:’);
1: writeln(‘Толстой «Война и мир» цена: 250 руб.’);
2: writeln(‘Ахматова «Лирика» цена, 150 руб.’);
3: writeln(‘Цветаева «Сборник стихотворений» цена: 100 рус.’);
4: writeln(‘Пушкин А.С. «Руслан и Людмила» цена: 210 руб.’);
5: writeln(‘Фет «Сборник стихотворений» цена: 175 руб.’);
6: writeln(‘Есенин «Поэма» цена, 120 руб.’);
7: writeln(‘Шолохов «Нахаленок» цена: 410 руб.’);
else writeln (‘ Книги нет !’);
Результат выполнения:

Задача № 5: Составить блок-схему и программу вычисления значений функций f( x ) на отрезке [ a , b ] в точках x := x + h , где h — шаг цикла, с последующим выводом таблицы значений:
Источник: pascalprogramma.blogspot.com
Составьте блок схему и программу вычисления значения функции

Даю 80 баллов! Больше нет! Прошу, сделайте это на онлайн паскале!
Сделайте фото кода!
Составить блок-схему алгоритма и программу на языке Паскаль для вычисления значения функций y(x) = 2(х + |(x — 1)2|). Ввести программу, вычислить значение функции и проверить полученный результат. На проверку нужно прислать текст кода программы, результат работы кода в виде скриншота окна программы с отображением кода и полученного результата. Входные данные задайте самостоятельно. Программная реализация обязательна!
5 (1 оценка)

valgrisa 1 год назад
Светило науки — 861 ответ — 0 раз оказано помощи
Ответ:
блок-схема — скрин 1
результат — скрин 2
Объяснение:
Источник: vashurok.com